top 104+ Pictures hubert humphrey comprehensive health center photos Sharp

top 104+ Pictures hubert humphrey comprehensive health center photos Sharp

top showcases captivating images of hubert humphrey comprehensive health center photos gathered and meticulously curated by the website galleryz.online. Furthermore, you can find more related images in the details below.

hubert humphrey comprehensive health center photos

top 104+ Pictures hubert humphrey comprehensive health center photos Sharp
A Renovated Urgent Care Facility for South L.A. – Supervisor Mark …
My Image 2
Jannet Molina – Certified Medical Assistant – Hubert H. Humphrey …
My Image 3
Quiรฉnes somos – Centro de salud – Hubert H. Humphrey Comprehensive …
My Image 4
Hubert H. Humphrey Metrodome, Minneapolis, MN Editorial Photo – Image …
My Image 5
Hubert H. Humphrey Building | Architect: Marcel Breuer (1977โ€ฆ | Flickr
My Image 6
Hubert Humphrey (1965-1969): gevangenschap onder LBJ – EW
My Image 7
Connect with Hubert Humphrey on HBCU CONNECT
My Image 8
Hubert Humphrey Building – Prudon & Partners | Prudon & Partners
My Image 9
Jolynn Cooper – Manager – Hubert H. Humphrey Comprehensive Health …
My Image 10
Hubert Humphrey Fellowships in USA for International Students
My Image 11
Sen. Hubert Humphrey is photographed in the Capitol. Foto di attualitร  …
My Image 12
Visit of Senator Hubert Humphrey (Minnesota) | JFK Library
My Image 13
Hubert H. Humphrey Fellowship Program – COMECSO
My Image 14
Hubert H. Humphrey Metrodome Photograph by Panoramic Images
My Image 15
Hubert Humphrey, sรฉnateur dรฉmocrate et candidat ร  la vice-prรฉsidence …
My Image 16
Visit of Senator Hubert H. Humphrey, Jr. (Minnesota) & guest. | JFK Library
My Image 17
Senator Hubert Humphrey Gesturing Photograph by Bettmann
My Image 18
2022-2023 Hubert H. Humphrey Fellowship Program
My Image 19
The Tragedy of Hubert Humphrey – American Experiment
My Image 20
Meeting with Senator Hubert H. Humphrey, Jr. (Minnesota), 10:37AM | JFK …
My Image 21
Hubert Humphrey Fellowship 2022, USA | Fully Funded
My Image 22
Lot Detail – Humphrey for Senator
My Image 23
Harry S. Truman and Mr. and Mrs. Hubert Humphrey | Harry S. Truman
My Image 24
Hubert Humphrey – New World Encyclopedia
My Image 25
Patricia Delouth – Custodian – HUBERT HUMPHREY MEDICAL CENTER | LinkedIn
My Image 26
Lot Detail – Hubert Humphrey Unity
My Image 27
Opinion | Hubert Humphrey, America’s Forgotten Liberal – The New York Times
My Image 28
Antiques, Art, Vintage
My Image 29
Hubert H. Humphrey Fellowships – International Scholarships
My Image 30
Hubert Humphrey Biography – Facts, Childhood, Family Life & Achievements
My Image 31
Hubert H. Humphrey Fellowship Program 2015 Application Form Online in …
My Image 32
The Hubert H. Humphrey Fellowship Programme 2017 | Competition Info
My Image 33
Hubert Humphrey The Flaming Liberal
My Image 34
Ya estรก abierta la convocatoria 2021 para el programa Hubert H …
My Image 35
Hubert Humphrey Bumper Sticker
My Image 36
HHH Fills the Prescription1968 Democratic presidential candidate Hubert …
My Image 37
The Hubert H. Humphrey Fellowship Programme 2019-2020 | Competition Info
My Image 38
Hubert Humphrey | MIT Compton Lectures
My Image 39
Pin on Richard Avedon
My Image 40
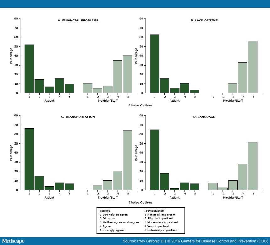
Perceived Barriers to Diabetic Retinopathy Screening
My Image 41
Amazon.com: Hubert Humphrey: The Conscience of the Country (Audible …
My Image 42
HPV Vaccine Is Cancer Prevention 2019 Champion Award Winners | CDC
My Image 43
Hubert Humphrey Building – Prudon & Partners | Prudon & Partners
My Image 44
Inaugurals Past and Present: Seeking Unity, Not Insurrection | Eugene L …
My Image 45
Hubert Humphrey Arriving at the 1968 Democratic Convention Circa 1968 …
My Image 46
Lot Detail – Hubert Humphrey Color Photo Pin
My Image 47
August 27, 1964 – Picking A Vice-President – Hubert Humphrey And The …
My Image 48
Florida Memory โ€ข Senator Hubert Humphrey, of Minnesota, at a rural …
My Image 49
Hubert Humphrey | Found film Roll end | Ralf K | Flickr

“Ja’Marr Chase Isn’t in My Top 4”
My Image 50
International Association of Hubert Humphrey
My Image 51
UM Hubert H. Humphrey School of Public Affairs | Minneapolโ€ฆ | Flickr
My Image 52
4 Vice Presidents Who Ran for President and Lost
My Image 53
DVP’s KENNEDY GALLERY
My Image 54
“Peace out, Humphrey” – The Annotated Gilmore Girls
My Image 55
Manning Your Health: Four Topics Worth Discussing at Your Next …
My Image 56
1968 – HUBERT HUMPHREY VS RICHARD NIXON VS GEORGE WALLACE – Election …
My Image 57
Hubert H Humphrey Metrodome- Vikings – Minnesota Vikings – Crewneck …
My Image 58
Portrait of American politician and US Vice President Hubert Horatio …
My Image 59
Hubert Humphrey Meets with Participants in the YOC, NYC Programs | NASA
My Image 60
Hubert Humphrey, Los Angeles, 1966 โ€” Calisphere
My Image 61
Hubert Humphrey: American Statesman – Smithsonian Associates
My Image 62
Barers of Maple Valley: Vice President Hubert Humphey 1964
My Image 63
Vintage Hubert Humphrey For Senate Magnet | Zazzle.co.uk
My Image 64
Humphrey for President Campaign Brochure
My Image 65
Levon Mesropyan – Pediatrician – UCLA Health | LinkedIn
My Image 66
1949-1964, U.S. Senator Hubert Humphrey – HistoryMugs.us
My Image 67
U.S. Vice President Hubert Humphrey speaks before the assembled crowd …
My Image 68
Hubert Humphrey | National Portrait Gallery
My Image 69
The Hubert H. Humphrey Fellowship Programme 2022-2023 | Competition Info
My Image 70
Hubert Humphrey: A Biography – Minnesota Historical Society
My Image 71
JFK and Hubert Humphrey | Kennedy family, John kennedy, Jfk
My Image 72
Hubert Humphrey | PSA AutographFactsโ„ 
My Image 73
Vice President -Hubert H, Humphrey (on Photo) | eBay
My Image 74
Hubert H. Humphrey Fellowship Program Competition Announcement – U.S …
My Image 75
Hubert Humphrey Building – Prudon & Partners | Prudon & Partners
My Image 76
Humphrey Statue
My Image 77
Hubert Humphrey Photos and Premium High Res Pictures – Getty Images
My Image 78
Hubert Humphrey | Ann Arbor District Library
My Image 79
David L Richards – Physician – Los Angeles County Department of Health …
My Image 80
Item Detail – Humphrey for Senator
My Image 81
Retro Baltimore
My Image 82
International Association of Hubert Humphrey
My Image 83
Hubert Humphrey for President 1968 and 1972 Humphrey Buttons and Pins …
My Image 84
Portrait of American senator for Minnesota, and future Vice-President …
My Image 85
Shivangi Goswami – Collaborative Care Coordinator – Los Angeles County …
My Image 86
Phil Phung – Physician – MedStar Health | LinkedIn
My Image 87
On This Day In 1968: Democrats Nominate Hubert Humphrey For President …
My Image 88
2019-Humphrey-Fellowship-Program – U.S. Embassy & Consulate in Vietnam
My Image 89
Hubert H. Humphrey (distortion) | International Center of Photography
My Image 90
VINTAGE HUBERT HUMPHREY HUMAN PRESIDENTIAL CAMPAIGN PINBACK BUTTON | eBay
My Image 91
Hubert H. Humphrey ยป Humphrey Fellowship Program | Boston University
My Image 92
Group of 4 HH Hubert Humphrey Presidential Candidate Buttons
My Image 93
David Goodman, MD, MPH – Hubert-Yeargan Center for Global Health
My Image 94
Hubert H. Humphrey (distortion) | International Center of Photography
My Image 95
1970 Former Vice-President HUBERT H. HUMPHREY speaking in Minnesota …
My Image 96
Application Information| Hubert Global Health Fellowship | CDC | Health …
My Image 97
Hubert H. Humphrey on Healing – Good Shepherd
My Image 98
View of American politicians US Senator Hubert Humphrey , US… News …
My Image 99
Grace M. Goodman, Psy.D. – Institute for Girls Development | Empowering …
My Image 100
1968 ELECTION – U.S. PRESIDENTIAL HISTORY
My Image 101
1968 Campaign Ephemera | Hubert Humphrey
My Image 102
Photo: Hubert Horatio Humphrey, Vice President, United States, Majority …
My Image 103
Hubert H. Humphrey – U.S. PRESIDENTIAL HISTORY
My Image 104
October 4, 1964 – Pressing flesh – Assessing Damage
We extend our gratitude for your readership of the article about hubert humphrey comprehensive health center photos at galleryz.online. We encourage you to leave your feedback, and there’s a treasure trove of related articles waiting for you below. We hope they will be of interest and provide valuable information for you.

Posts: hubert humphrey comprehensive health center photos
Categories: Collection
Author: galleryz.online