List 91+ Pictures what is the inactive precursor of pepsin? Superb

List 91+ Pictures what is the inactive precursor of pepsin? Superb

โ€”

by

in

List showcases captivating images of what is the inactive precursor of pepsin? gathered and meticulously curated by the website galleryz.online. Furthermore, you can find more related images in the details below.

what is the inactive precursor of pepsin?

List 91+ Pictures what is the inactive precursor of pepsin? Superb
Inactive enzyme precursors, such as pepsinogen for pepsin are calleda …
My Image 2
Difference between Pepsin and Pepsinogen
My Image 3
Pepsin enzyme function, source of production and where is pepsin found
My Image 4
Enzyme pepsin 3D model stock illustration. Illustration of biochemistry …
My Image 5
Pepsin molecule – Stock Image – A605/0151 – Science Photo Library
My Image 6
Was ist der Unterschied zwischen Pepsin und Pepsinogen – Nachrichten 2022
My Image 7
Comparison of the aspartic protease structures. (A) porcine pepsin …
My Image 8
What is the Difference Between Pepsin and Pepsinogen – Pediaa.Com
My Image 9
Pin on https://drawittoknowit.com/
My Image 10
Structure Of Human Pepsin Complexed With Inhibitor Pepstatin Stock …
My Image 11
Difference between Pepsin and Pepsinogen
My Image 12
Pepsin Enzyme Function | Livestrong.com | Enzymes, Livestrong.com …
My Image 13
What is the Difference Between Pepsin and Pepsinogen – Pediaa.Com
My Image 14
(a and b) RMSD of pepsin and the pepsin-DFX complex (two model). (c …
My Image 15
PEPSIN-FACTS – Peptest – a reflux diagnostic device
My Image 16
Schematic representation of the pepsinogen immunoassay. (a) PVA …
My Image 17
What is Pepsin?
My Image 18
Pepsinogen is secreted by aGastric Glands bIntestinal class 11 biology CBSE
My Image 19
๐ŸŒฑ Which ph provided the highest pepsin activity. What is the optimal pH …
My Image 20
Which Cells Secrete Pepsinogen ~ 20 collection of ideas about how to …
My Image 21
Chemical structure of pepstatin, a pepsin inhibitor. | Download …
My Image 22
Free art print of Pepsin enzyme molecule, chemical structure. Chemical …
My Image 23
Digestive Energyโ„ข Pepsin (Vegan Source) – Positive Power Nutrition
My Image 24
TGF-ฮฒ and ROS interplay. TGF-ฮฒ is synthesized as an inactive precursor …
My Image 25
proteins – Why is pepsin able to operate at low pH? – Biology Stack …
My Image 26
Digestive Energyโ„ข Pepsin – Vegan Source (60 capsules) – Positive Power …
My Image 27
Pepsin molecule – Stock Image – A605/0155 – Science Photo Library
My Image 28
Chemical structure of pepstatin, a pepsin inhibitor. | Download …
My Image 29
RCSB PDB – 1PSO: The crystal structure of human pepsin and its complex …
My Image 30
The effect of pepsin on NF-ฮบB activation in HCs exposed at weakly …
My Image 31
Pepsin A Antibody (PA5-36559)
My Image 32
RCSB PDB – 2PSG: REFINED STRUCTURE OF PORCINE PEPSINOGEN AT 1.8 …
My Image 33
Pepsin Enzyme – Pepsin enzyme Manufacturer from Vadodara
My Image 34
Free art print of Pepsin molecule on white. Pepsin 3D model. An enzyme …
My Image 35
(A) Amino acid sequence of pepsin. All potential cleavage sites …
My Image 36
Pharmaceutical Enzymes – Pepsin Manufacturer from Ahmedabad
My Image 37
Betaine HCl + Pepsin pack of 60 capsules – Epigenetics
My Image 38
Digestive Energyโ„ข Pepsin – Vegan Source (60 capsules) – Positive Power …
My Image 39
What Is Pepsin – GAMES:EDU
My Image 40
PEPSIN, 700 MG 100 CAPSULES – Walmart.com
My Image 41
RCSB PDB – 1PSA: STRUCTURE OF A PEPSIN(SLASH)RENIN INHIBITOR COMPLEX …
My Image 42
Solved ealed: Digestive Saved Indicate where each enzyme (or | Chegg.com
My Image 43
Split2 Protein-Ligation Generates Active IL-6-Type Hyper-Cytokines from …
My Image 44
RCSB PDB – 1PSO: The crystal structure of human pepsin and its complex …
My Image 45
What is an inactive precursor? – Quora
My Image 46
Pepsin molecule – Stock Image – A605/0154 – Science Photo Library
My Image 47
In vivo synthesis of melatonin from the precursor molecule l-tryptophan …
My Image 48
The effect of pepsin on NF-ฮบB activation in HCs exposed at weakly …
My Image 49
Immobilized Pepsin for Generation of F(ab)2 Fragments from IgG

Abhiram Kapaganty presents on Precursor Identification for Neurodegenerative Diseases | 2023 GHLC
My Image 50
Figure 3 from Mechanism of activation of the gastric aspartic …
My Image 51
Figure 2 from Mechanism of activation of the gastric aspartic …
My Image 52
HCL/Pepsin 90s – MiBella Wellness Store
My Image 53
Proteases are highly regulated on the protein level. Expressed as …
My Image 54
Gastric physiology 2 – gastric motility Flashcards | Quizlet
My Image 55
Pepsin, 1:3,000, Powder, Spectrum | Fisher Scientific
My Image 56
HCL & Pepsin โ€” Purely Integrative
My Image 57
SDS-PAGE of sweet potato peel digested with pepsin (top), then with …
My Image 58
The effect of pepsin on NF-ฮบB activation in HCs exposed at weakly …
My Image 59
HCl & Pepsin
My Image 60
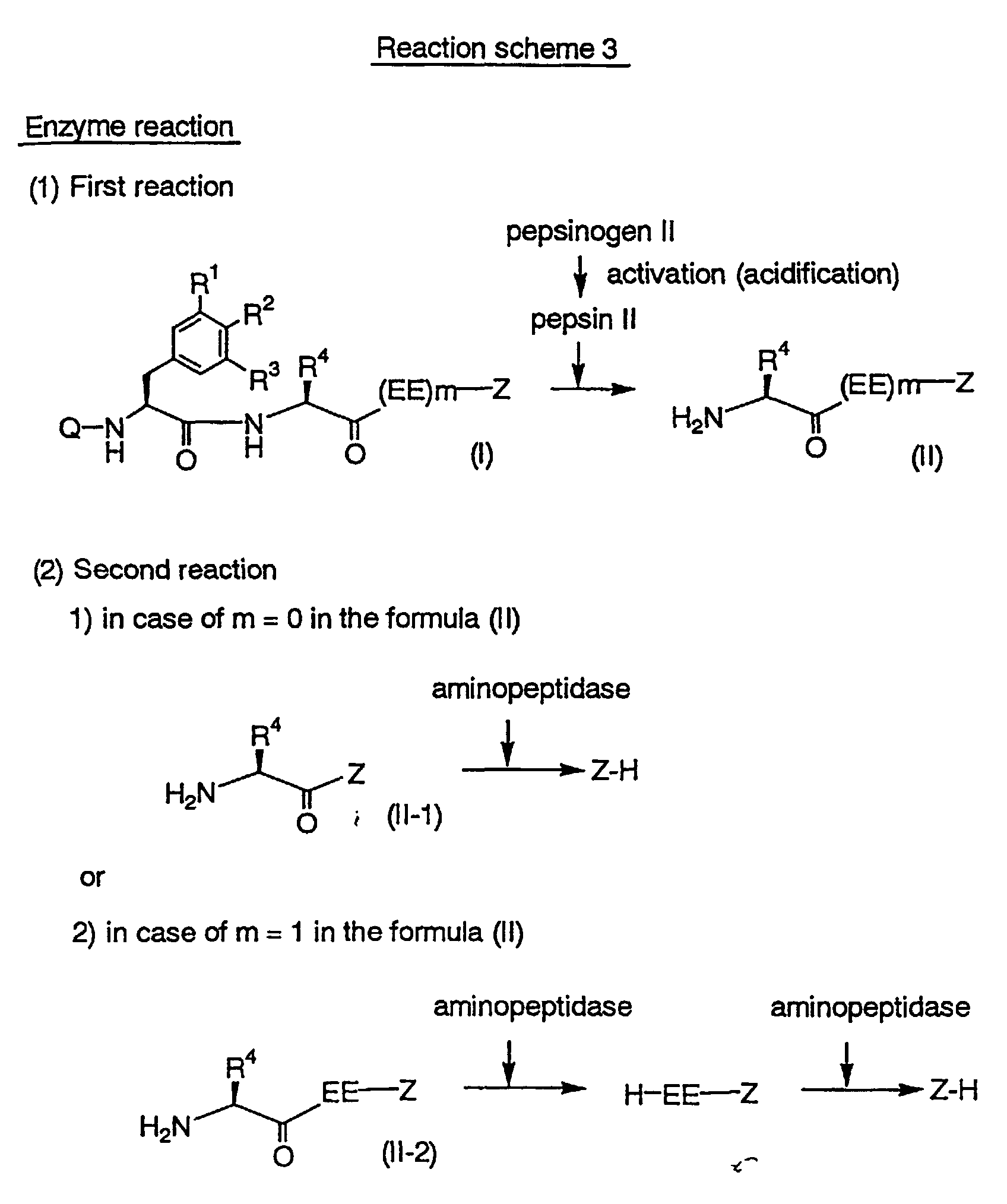
EP1046650A1 – PEPTIDES, METHOD FOR ASSAYING HUMAN PEPSINOGEN II or …
My Image 61
Postprandial events upon gastric emptying that are involved in …
My Image 62
Solved Cells in the stomach produce an enzyme called pepsin | Chegg.com
My Image 63
Figure 2
My Image 64
0935b-digestivesystem_infographic – Restech PepsinCheck
My Image 65
Pepsin enzyme molecule, chemical structure. Chemical structure of a …
My Image 66
Simplified schematic of the natriuretic peptide system. Natriuretic …
My Image 67
DIGESTION AND ABSORPTION – Gastrointestinal Physiology – Physiology 5th Ed.
My Image 68
Carboxyl Proteinase (Molecular Biology)
My Image 69
HCL & Pepsin – Full of Vigor
My Image 70
Pepsinogen C (PGC) expression in HCC and adjacent non-tumor tissues …
My Image 71
Trypsin enzyme function, production, cleavage & trypsin inhibitor
My Image 72
Detection of pepsin-stable peptide fragments. Pepsin digestion samples …
My Image 73
Stomach histology – gastric pits in 2021 | Tissue biology, Medical …
My Image 74
Pepsinogen I (PG I) expression in cynomolgus monkey stomach …
My Image 75
Pepsin enzyme molecule. stock illustration. Illustration of pepsin …
My Image 76
Aspartic proteases: proteins which is similar to pepsin was serched …
My Image 77
SIGMA-ALDRICH Pepsin, Contains 100g, CAS 9001-75-6 – 45ZH77|P7125-100G …
My Image 78
Difference Between Pepsin and Renin | Compare the Difference Between …
My Image 79
RCSB PDB – 2PSG: REFINED STRUCTURE OF PORCINE PEPSINOGEN AT 1.8 …
My Image 80
Pepstatin A, aspartic protease inhibitor (CAS 26305-03-3) (ab141416 …
My Image 81
Human Pepsinogen A5/PGA5 Antibody AF8457-100: R&D Systems
My Image 82
The effect of pepsin on NF-ฮบB activation in HCs exposed at weakly …
My Image 83
Fungal Diastase Pepsin Syrup, 200 Ml, Rs 160/bottle Curivo Health Care …
My Image 84
How to reduce non-specific reactions | MBL Life Sience -ASIA-
My Image 85
Pure Encapsulations Betaine HCl Pepsin – 250 Capsules – eVitamins.com
My Image 86
Analysis of pepsin cleavage sites and structure of cleaved fragments …
My Image 87
NC DNA Day ยป Science Word Wednesday: Enzyme
My Image 88
Vitamin D metabolism. Endogenous or exogenous cholecalciferol and …
My Image 89
What is Regulatory Enzyme and Enzyme Regulation? | easybiologyclass
My Image 90
HCL/Pepsin – Alternative & Naturopathic Medicine in Ann Arbor, MI
My Image 91
Activity of pepsin in the presence of different concentrations of NaCl …
We extend our gratitude for your readership of the article about what is the inactive precursor of pepsin? at galleryz.online. We encourage you to leave your feedback, and there’s a treasure trove of related articles waiting for you below. We hope they will be of interest and provide valuable information for you.

Posts: what is the inactive precursor of pepsin?
Categories: Album
Author: galleryz.online